应用饱和蒸汽压下单元液体的玻尔兹曼因子方程 ng = ni e -Ei / kT [1] ,不仅可以在定量上准确计算气液两相平衡体系的气化热、沸点气化熵[2]、表面张力系数及其温度变化率[1],而且还可以直接改写为描述冰与饱和蒸汽平衡体系的玻尔兹曼因子方程,在定量上精确计算冰的升华热,比传统意义上广为采用的“相平衡条件(化学势相等)μg = μi“更为简便、实用、精确,且物理意义也更加清晰。
1、冰与饱和蒸气平衡体系的玻尔兹曼因子方程
在T ≦ 0°C 时,将饱和蒸气压下单元液体的玻尔兹曼因子方程直接改写为:
ng = n2 e -E2 / kT (1)
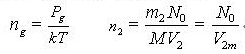
其中E2 为冰与饱和蒸气界面的表面自由能,数值上等于冰内部的分子穿越冰与饱和蒸气界面升华为蒸气分子过程中,克服冰表面的保守力作用所做的功;n2 为冰内部分子数密度;ng 为饱和蒸气的分子数密度。实用于描述冰与饱和蒸气所构成的平衡体系。由于:

式中Pg 为饱和蒸气压;V2为质量为m2的冰的体积;V2m为冰的摩尔体积;N0为阿伏伽德罗数,M为摩尔质量,代入(1)式得:

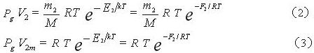
其中F2为摩尔表面自由能,数值上等于冰内部一摩尔分子穿越冰与饱和蒸气界面升华为蒸气分子过程中,克服冰表面的保守力作用所做的功,即 F2 = N0 E2 。
由于(1)、(2)和(3)式中的宏观特性参量Pg(或ng)、V2、V2m(或n2)、T与冰的表面自由能E2(或摩尔表面自由能F2)完全决定了冰与饱和蒸气平衡体系的唯一确定性,所以(1)、(2)、(3)式就是描述冰与饱和蒸气的物态方程。考虑(1)、(2)、(3)式中都含有著名的玻尔兹曼因子e-E2/kT(或e-F2/RT),故将(1)、(2)、(3)式称之为描述冰与饱和蒸气平衡体系的玻尔兹曼因子方程。
2、冰与饱和蒸气界面的表面特性函数方程
由(3)式。可直接导出:
1) 摩尔表面自由能方程
F2 = RT( ln R + ln T - ln pg - ln V2m) (4)
2) 摩尔表面熵方程

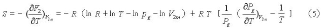
3)摩尔表面能方程

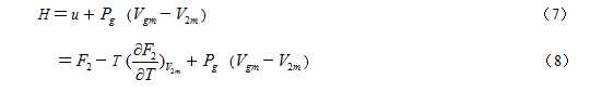
4)摩尔升华焓方程

(4)、(5)、(6)、(7)、(8)式,在可实验实测的宏观特性参量Pg,Vgm,V2m,T与不可实验实测的冰与饱和蒸气界面的表面特性函数F2,S,u,H 之间架起了衔接的桥梁;在定量上实现了准确描述冰与饱和蒸气界面分子之间相互作用特性的目标。
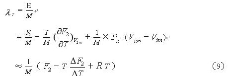
3、升华热的理论公式
由于冰的升华热可表示为摩尔升华焓与摩尔质量的商,故由摩尔升华焓(8)式,即可得到

式中M为摩尔质量。(9)式就是升华热的理论公式。由于F2t、F2t+t、ΔF2 = F2t+t -F2t 都可以由表面自由能方程(4)式直接计算得到,故此,先应用(4)式计算出F2t、F2t+t 与ΔF2/ΔT 的数值,再代入(9)式,即可在定量上计算出升华热 λT 的理论数值。
4、精确计算冰的升华热
1)先计算F2-2、F20 与 ΔF2/ΔT
由于冰的摩尔体积等于摩尔质量M与冰密度D2的商,即V2m = M/D2 ,所以(4)式可改写为:

由物理手册查的-2℃ 与 0℃ 冰的实验数据[3]为:

将上列实验数据代入(10)式计算,即可得到:

2)再计算λ20
将F20 与(F20 - F2-2)/2 的数据代入(9)式,即可计算λ20的纯理论数据:

由于实验不容易直接测得冰的升华热[4],故用实验实测的熔接热 λ2-1 与实验实测的气化热λ1-g 之和,为冰的升华热(实验值)[4]。即:
升华热(实验值)λ2n = λ2-1 + λ1-g = 79.72 + 597.40 = 677.12 卡/克[4]
纯理论计算值λ2n 与实验实测值677.12卡/克相比较,相对误差为 (677.19-677.12)/677.12 = 0.0103%
5、结论
精确计算结果证明,玻尔兹曼因子方程(1)、(2)、(3)式,精确地描述了冰与饱和蒸气平衡体系的自然规律,为精确计算冰的表面自由能及其相关的物理量打开了方便之门,具有确切的实用价值与普遍性意义。
参考文献:
[1] 吴义彬, 饱和蒸汽压下单元液体的物态方程及其应用[J],江西科学,2010,28(5):593页
[2] 吴义彬,气化热与沸点气化熵的理论计算——论证褚鲁统规则,物理通报 2013/7 90页
[3] (苏联)K. Π. 雅阔夫列夫主编,黄镜权,尤烈之合译 1966 简明物理技术手册第一卷[M](北京:中国工业出版社)446页 表2-67、389页表2-31.
[4] 王竹溪 2005. 热力学. 第2版.(北京:北京大学出版社)161页.