Webb团队通过对于星体的观测猜测宇宙是各向不同性的。这里的各向不同性,不是我们通常所说的天文观测中发现的物质能量分布以及微波背景辐射的各方向不同。而是指基本物理定律的各向不同性,在不同方向上精细结构常数具有不同的数值。
这一发现对于理论物理意义非凡!
原文地址(已OpenAccess):
https://advances.sciencemag.org/content/6/17/eaay9672
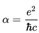
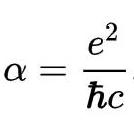
精细结构常数:

包含三个非常基础物理学常数,分别是电子的电荷量e,光速c,和普朗克常量h。这三个量我们认为在任何参考系在任何物理背景下都是一个标量常数,所以精细结构常数也是一个标量常数,标量就意味着各向同性。
通过测量氢原子的能级分裂,可以给出精细结构的具体数值。

它的数值在地球上很多地方都给出很精确的测量,都在误差范围内是一样的。简而言之,在地球上我们到目前为止还没发现精细结构常数是不对称的。
但是天文观测上就实锤发现了精细结构常数也是可以各个方向不一样的:从Webb这篇文章的原文中给出的结果,精细结构常数具有偶极分布这个结论偏离零假设有3.9 sigma。
偏离零假设这是一个统计学的方法,先假设一个反向的结果,如果不出现“意外”,那么就证明零假设是对的。比如说我是一个每天不摸鱼的人,然后10次抽样检查发现9次我都在摸鱼,那么就说明“零假设”是错的,从而得到结论,我是一个经常摸鱼的人。
一般情况下我们说大于3 sigma就是所谓“零结果”很不可靠的情况。
所以这里基本上是可以实锤确实观测到了各向不同性。
观测方法也是测谱线,只不过是测量1300万光年外的类星体的观测谱线:

下图是文章中的Fig3,其中灰色虚线代表

而灰点是Webb团队观测给出的结果,前面彩色的点是其他观测的结果,黑点是综合分析的结果:

这篇文章中测量的4个数据点和之前文章综合起来构成一个323个测点的数据集,图中可以看出红移量大的测点(也就是距离地球更远的点,或者是更加古老的点)偏离地球上测到的精细结构常数的偏移量也更大,综合所有这些测点进行分析,得到的结论是精细结构常数的测量值存在偶极分布。
偶极的相对幅度是:

也就是说,精细结构常数在宇宙中的分布是不均匀的。
我非常期待有更多的这样的天文观测结果,这样理论物理学家就有的忙了。
【盛宴尚未结束】
想想精细结构常数:

要真是一个张量那该是一件多有趣的事情,引入精细结构非对称张量A:

的时候退化回我们现在的样子。
非对角元上的元素的表达式将是什么样子
有什么更高级的物理模型能描述这个不对称
我们离大一统理论(GUT)又远了一步2333
可倘若精细结构常数果真非对称,那么它的非对称性形式(也就是矩阵A中的非对角元素是否随时间如何变化?)
写在最后
多说一句,在文章简介中还有一句让人非常担忧的话:

“A new AI analysis method is employed”
一个崭新的AI算法被应用进来,我没有详细检查作者使用AI的具体细节。
首先,这是一个趋势,万物皆可机器学习,它给我们带来了很多便利,在数据收集和处理上让我们获得很多便利。
其次,要谨慎,毕竟是个黑盒,在给出如此颠覆性结论的时候AI是否可靠是个非常值得探讨的问题。
图片来源
[1]https://phys.org/news/2020-04-laws-nature-downright-weird-constant.html